Top thingy left
 
RESOLVIDO O MISTÉRIO DAS GALÁXIAS ULTRADIFUSAS
29 de novembro de 2016

 


Uma visualização da distribuição estelar em galáxias ultradifusas simuladas. As galáxias são tão ténues quanto as galáxias anãs, mas ocupam uma área tão grande quanto a Via Láctea. Uma nova investigação mostra que se existirem um grande número de supernovas durante o processo de formação estelar, isto poderá empurrar as estrelas e a matéria escura para fora, fazendo com que a galáxia se expanda. O facto da galáxia ficar espalhada sobre uma área maior significa que se torna mais difusa e difícil de observar com telescópios. A imagem mostra duas galáxias ultradifusas simuladas, sobrepostas sobre uma imagem do Hubble com galáxias de fundo.
Crédito: Arianna Di Cintio, Chris Brook, simulações NIHAO e Telescópio Espacial Hubble
(clique na imagem para ver versão maior)

 

Ao longo do último ano, investigadores observaram algumas galáxias muito ténues e difusas. As galáxias são tão fracas quanto galáxias anãs, mas estão distribuídas numa área tão grande quanto a Via Láctea. Tem sido um mistério, como galáxias tão ténues - com até 1000 vezes menos estrelas do que a Via Láctea, ainda podem ser tão grandes. Agora, uma nova investigação do Instituto Niels Bohr mostra que se um grande número de supernovas explodirem durante o processo de formação estelar, isto poderá empurrar as estrelas e a matéria escura para fora, fazendo com que a galáxia se expanda. Os resultados foram publicados na revista científica Monthly Notices of the Royal Astronomical Society.

As galáxias são coleções gigantescas de estrelas, gás e da chamada matéria escura. As galáxias mais pequenas contêm alguns milhões de estrelas, enquanto as maiores podem contar várias centenas de milhares de milhões de estrelas. As primeiras estrelas já surgiram no Universo primitivo cerca de 200 milhões de anos após o Big Bang, formadas a partir dos gases hidrogénio e hélio. Estas nuvens gigantes de gás e poeira contraem-se e, eventualmente, o gás fica tão condensado que a pressão aquece o material, criando bolas brilhantes de gás e dando à luz novas estrelas. As estrelas agrupam-se em galáxias, as primeiras das quais eram uma espécie de "galáxias bebé".

A teoria dos astrónomos é que estas "galáxias bebé" gradualmente ficaram maiores e mais massivas através da constante formação de novas estrelas e através de colisão com galáxias vizinhas para formar galáxias novas e maiores. As maiores galáxias do nosso Universo atual têm estado, portanto, sob formação constante ao longo da história. A Terra e o nosso Sistema Solar encontram-se numa galáxia grande, a Via Láctea.

Mas as recém-descobertas galáxias ténues e ultradifusas eram difíceis de classificar e enquanto alguns investigadores pensavam que as galáxias difusas eram tão grandes como galáxias espirais mas com uma grande quantidade de matéria escura, outros pensavam que seria apenas um caso de galáxias anãs comuns.

Recriando galáxias

Um projeto de pesquisa liderado por uma investigadora do Instituto Niels Bohr da Universidade de Copenhaga tem sido capaz de recriar as características das galáxias observadas usando simulações computorizadas avançadas, realizadas em colaboração com a Universidade de Nova Iorque em Abu Dhabi.

"Ao recriarmos quase 100 galáxias virtuais, mostrámos que quando há um grande número de supernovas durante o processo de formação estelar, isso poderá resultar na migração das estrelas e da matéria escura na galáxia para o exterior, fazendo com que a galáxia se expanda. Quando existe um pequeno número de estrelas numa grande área, isso significa que a galáxia torna-se ténue e difusa e, portanto, difícil de observar com telescópios," explica Arianna Di Cintio, doutorada em astrofísica, do Centro de Cosmologia Escura do Instituto Niels Bohr da Universidade de Copenhaga, a principal investigadora do projeto.

Ela explica que o mecanismo que faz com que as estrelas se afastem do centro é o mesmo que é capaz de criar áreas com uma menor densidade de matéria escura. As muitas supernovas são tão poderosas que expelem o gás para o exterior da galáxia. Como resultado, tanto a matéria escura como as estrelas também migram na direção contrária à do centro galáctico, de modo que a galáxia se expande. O facto da galáxia se espalhar sobre uma área maior significa que se tornou mais difusa e indistinta.

"Se conseguirmos recriar galáxias ultradifusas com simulações de computador, isso prova que estamos no caminho certo com o nosso modelo cosmológico. Portanto, prevemos que existam galáxias ultradifusas em toda a parte - não só em enxames galácticos. Elas são dominadas pela matéria escura e só uma pequena percentagem do seu conteúdo é composto por gás e estrelas e o mais importante é que são galáxias anãs com uma massa apenas cerca de 10 a 60 vezes inferior à de uma grande galáxia espiral, significativamente menos do que a Via Láctea, por exemplo," comenta Arianna Di Cintio.

Em adição, os cientistas esperam que das galáxias ultradifusas mais isoladas, as maiores possam conter mais gás. Estão, portanto, a iniciar estreitas colaborações com grupos de pesquisa que realizam observações de áreas muito distantes do céu com poderosos telescópios a fim de confirmar essas teorias.

"Vão abrir uma janela totalmente nova para a formação galáctica - e podem existir milhares de galáxias ultraténues à espera de serem descobertas," salienta Arianna Di Cintio, que está ansiosa por descobrir o seu número de estrelas, o seu conteúdo de elementos e como é que as galáxias ultradifusas sobrevivem em enxames de galáxias.

 


comments powered by Disqus

 


A ténue galáxia ultradifusa Dragonfly 17 vista aqui ao lado de duas outras galáxias para comparação. A grande galáxia espiral, a Galáxia de Andrómeda, está à esquerda e a galáxia elíptica e anã, NGC 205, está um pouco para cima e para a direita na imagem, enquanto a galáxia ultradifusa Dragonfly 17 pode ser vista na imagem à direita.
Crédito: Schoening/Harvey/van Dokkum/Telescópio Espacial Hubble
(clique na imagem para ver versão maior)


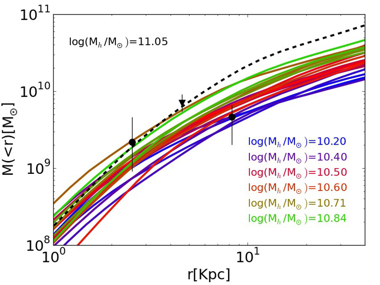
Os perfis de massa de galáxias ultradifusas simuladas (linhas coloridas) e de galáxias observadas (símbolos escuros), indicando que as galáxias ultradifusas são galáxias anãs, muito mais pequenas que a Via Láctea.
Crédito: Arianna Di Cintio, simulações NIHAO
(clique na imagem para ver versão maior)


Usando o Telescópio Subaru, astrónomos observaram 854 galáxias ultradifusas no enxame galáctico de Cabeleira de Berenice. Estas galáxias estão muito longe - cerca de 300 milhões de anos-luz e 332 delas são do tamanho da Via Láctea.
Crédito: NAOJ
(clique na imagem para ver versão maior)


Links:

Notícias relacionadas:
Instituto Niels Bohr - Universidade de Copenhaga (comunicado de imprensa)
Monthly Notices Letters of the Royal Astronomical Society
Artigo científico (arXiv.org)
Astronomy Now
PHYSORG

Galáxias ultradifusas:
Wikipedia

 
Top Thingy Right